概述
ISW型系列卧式离心泵,是本单位科技人员联合国内水泵专家选用国内优秀水力模型,采用IS型离心泵之性能参数,在一般卧式泵的基础上进行巧妙组合设计而成,同时根据使用温度、介质等不同在ALG型基础上派生出适用热水、高温耐腐蚀化工泵、油泵。该系列产品具有高效节能、噪音低、性能可靠等优点,符合最新国家机械部JB/T53058-93的标准要求,产品按国际ISO2858标准设计制造。

概述
ISW型系列卧式离心泵,是本单位科技人员联合国内水泵专家选用国内优秀水力模型,采用IS型离心泵之性能参数,在一般卧式泵的基础上进行巧妙组合设计而成,同时根据使用温度、介质等不同在ALG型基础上派生出适用热水、高温耐腐蚀化工泵、油泵。该系列产品具有高效节能、噪音低、性能可靠等优点,符合最新国家机械部JB/T53058-93的标准要求,产品按国际ISO2858标准设计制造。
型号意义

主要用途
◆ ISW卧式清水泵,供输送清水及物理化学性质类似于清水的其它液体之用,适用于工业和城市给排水、高层建筑增压送水、园林喷灌、消防增压、远距离输送、暖通制冷循环、浴室等冷暖水循环增压及设备配套,使用温度t≤80℃。
◆ ISWR卧式热水泵,广泛适用于:冶金、化工、纺织、造纸以及宾馆饭店等锅炉热水增压循环输送及城市采暖系统,ALWR型使用温度t≤120℃。
◆ ISWH卧式化工泵,供输送不含固体颗粒,具有腐蚀性。粘度类似于水的液体,适用于石油、化工、冶金、电力、造纸、食品、制药和合成纤维等部门,使用温度为-20℃~+120℃。
◆ ISWY卧式管道油泵,供输送汽油、煤油、柴油等油类产品或易燃、易爆液体,被输送介质温度为-20℃~120℃。
◆ ISWHY型卧式不锈钢防爆化工离心泵,适用于输送易燃性化工液体。
◆ ISWD卧式低转速泵,适应要求环境噪声很低的场合,使用温度t≤120℃。
工作条件
◆ 吸入压力≤1.0mpa,或泵系统最高工作压力≤1.6mpa,即吸入口压力+泵扬程≤1.6mpa、泵静压试验压力为≤2.5mpa,订货时请注明系统工作压力。泵系统工作压力大于1.6mpa时应在订货时另行提出,以便在制造时泵的过流部分和联接部分采用铸钢材料。
◆ 环境温度<40℃,相对湿度<40%。
◆ 所输送介质中固体颗粒体积含量不超过单位体积的0.1,粒度<0.2mm。
注:如果用介质为带有细小颗粒,请在订货时说明,以便厂家采用耐磨式机械密封。
特点
◆ 运行平稳:泵轴的绝对同心度及叶轮优异的动静平衡,保证平稳运行,绝无振动。
◆ 滴水不漏:不同材质的硬质合金密封,保证了不同介质输送均无泄漏。
◆ 噪音低:两个低噪音轴承支撑下的水泵,运转平稳,除电机微弱声响,基本无噪音。
◆ 故障率低:结构简单合理,关键部分采用国际一流品质配套,整机无故障工作时间大大提高。
◆ 维修方便:更换密封、轴承,简易方便。
◆ 占地更省:出口可向左、向右、向上三个方向,便于管道布置安装,节省空间。
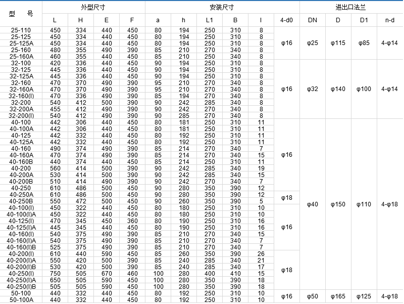
参数表














外形尺寸

安装尺寸










外形图

基础尺寸








